|
大气中的二氧化氮(NO2)以干沉降形式进入森林生态系统时,可被冠层叶片直接吸收。在氮限制的生态系统中,冠层对NO2的吸收可能会成为植物重要的氮来源之一,进而影响森林生态系统的氮循环以及碳固存。然而,目前对森林冠层吸收NO₂的定量研究仍较为有限。
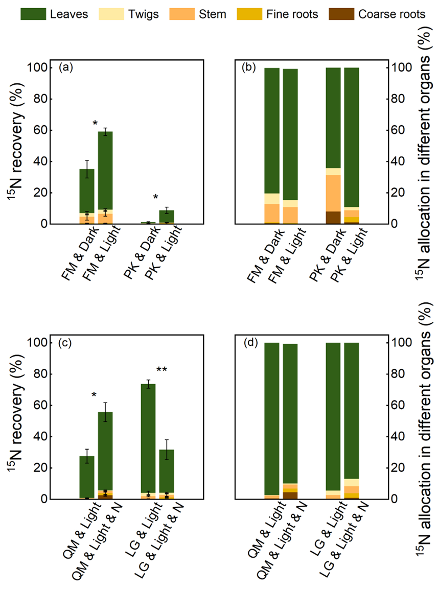
为了评估森林乔木叶片对NO2的吸收能力以及分配策略,中国科学院沈阳应用生态研究所稳定同位素生态学团队利用15N同位素示踪技术,选取中国东北温带森林四种优势乔木树种幼苗(蒙古栎、水曲柳、落叶松、红松),在不同光照或土壤施氮条件下,利用50 ppb的15NO2对乔木幼苗进行8 h的动态熏蒸,量化了乔木幼苗叶片对NO2的吸收与分配。
结果显示:不同树种间NO2吸收能力存在差异,叶面积大小是导致树种间吸收能力差异的主要因素。光照条件下叶片NO2吸收量显著高于黑暗条件(+ 7.7 ~ 34.4%),这与黑暗条件下大部分气孔关闭有关;土壤施氮促进蒙古栎吸收NO2(+ 28.6%)却抑制落叶松吸收(- 41.9%),研究认为植物可能会根据自身氮状况调控叶片NO2吸收。短期内吸收的NO2主要存储在叶片内,熏蒸8 h后叶片15N回收率在总回收率中的占比达到60-97%。基于幼苗数据估算,在生态系统尺度上温带森林冠层NO2吸收能达到0.51 ± 0.07 kg N ha-1 y-1。
研究成果以“Tree saplings readily take up NO2 during foliar15NO2fumigation”为题,近期发表于《Plant, Cell & Environment》期刊上。中国科学院沈阳生态所博士研究生姚萌为第一作者,康荣华研究员为通讯作者,其他合作作者包括沈阳生态所方运霆研究员、王庆伟研究员和王超研究员,清华大学段雷教授,新罕布什尔大学Erik A. Hobbie教授和挪威生命科学大学Jan Mulder教授等。该研究得到了国家自然科学基金、国家重点研发计划项目和辽宁省重点研发计划等项目的支持。
原文链接: https://doi.org/10.1111/pce.70184

图1 15NO2回收率和各器官占比


图2 不同树种林冠对NO2的吸收能力和不同影响因子对NO2吸收的相对贡献
|