|
近日,上海辰山植物园赵清研究组在《Medicinal Plant Biology》上发表题为“Characterization of three flavonol synthases involved in the biosynthesis of 4'-deoxyflavonol inScutellaria baicalensisGeorgi”的研究论文。该研究从黄芩中分离出具有F3H/FLS双功能活性(以FLS为主)的三种黄酮醇合酶Sb2ODD8、Sb2ODD11和Sb2ODD12,并通过酶动力学分析显示它们具有不同的底物偏好性。这些发现不仅揭示了黄芩中黄酮醇的生物合成机制,也为黄酮醇代谢工程的优化提供了重要参考。
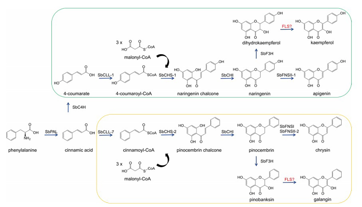
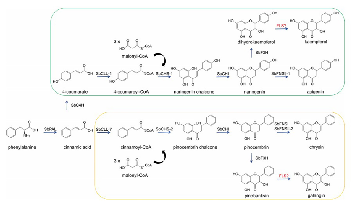
黄芩(Scutellaria baicalensisGeorgi)是唇形科黄芩属的多年生草本植物,是一味历史悠久且应用广泛的中药材,具有清热解毒、祛湿化痰、缓解肺热咳嗽等功效。黄芩的生物活性主要源于其所含的黄酮类化合物,包括黄芩素、黄芩苷、汉黄芩素、汉黄芩苷等活性成分,这些活性成分的生物合成途径已经解析,但黄芩中有关黄酮醇的生物合成途径尚不明确。迄今为止负责4'-脱氧黄酮醇(高良姜素)生物合成的FLS还未被报道,这限制了合成生物学中4'-脱氧黄酮醇的生产。
黄酮醇合成酶(FLS)是一种催化二氢黄酮醇转化为黄酮醇的酶,属于2-酮戊二酸依赖性双加氧酶(2ODD)家族中的DOXC47亚家族。基于先前的代谢组学分析,本研究对黄芩中的Sb2ODDs家族进行全基因组分析,鉴定出五个FLS功能的候选基因。结合黄芩不同组织转录组数据,对SbFLS基因家族的表达模式进行分析,发现这五个Sb2ODD基因主要在花和根中表达,茎和叶中几乎不表达。通过酿酒酵母异源表达系统,研究团队验证了三种黄酮醇合酶(FLS)基因——Sb2ODD8、Sb2ODD11和Sb2ODD12,这些酶同时具有F3H和FLS双重活性,可将黄烷酮先转化为二氢黄酮醇,再进一步转化为黄酮醇。Sb2ODD8、Sb2ODD11和Sb2ODD12三种酶的酶动力学分析显示其底物偏好性存在显著差异:Sb2ODD11对4'-脱氧二氢黄酮醇表现出更强活性,而Sb2ODD8和Sb2ODD12则更倾向于作用于4'-羟基二氢黄酮醇。这些发现不仅为解析黄芩黄酮醇生物合成机制提供了重要线索,更为黄酮醇代谢工程生产提供了关键指导。
上海辰山植物园崔孟颖助理研究员和上海辰山植物园赵清研究员为论文的共同通讯作者。上海辰山植物园和四川大学生命科学学院联合培养博士生朱三明及上海辰山植物园和郑州大学联合培养硕士生陈秋颖为论文共同第一作者。该研究得到了国家自然科学基金、上海市自然科学基金、上海市绿化和市容管理局科研专项基金、中华人民共和国科学技术部,以及上海市农业与农村事务委员会农业科技推广专项资金的支持。
文章链接:https://www.maxapress.com/article/doi/10.48130/mpb-0025-0033


 
|