|
增强岩石风化(Enhanced Rock Weathering)是一种通过向土壤中添加硅酸盐粉末,加速自然风化过程以实现碳封存的二氧化碳移除技术,近年来备受人们关注。然而,增强岩石风化如何影响森林生态系统凋落物分解尚不清楚。
针对这一科学问题,中国科学院沈阳应用生态研究所森林地下生态系统与生产力提升组群以亚热带森林为研究对象,开展了为期一年的野外凋落物分解实验。研究人员在土壤表面施加硅灰石粉末(5吨/公顷),并采用两种孔径的凋落物袋(0.1毫米与2毫米)分别排除或允许土壤动物进入,系统研究了硅灰石添加对11个树种凋落物分解的影响及其调控机制。
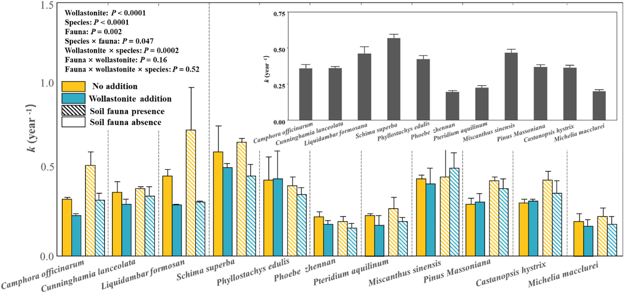
研究结果表明,硅灰石添加显著抑制了凋落物分解速率,平均降幅达26%(图1)。进一步分析发现,硅灰石添加提高了土壤氮、磷有效性和土壤pH值,可能是导致分解速率减缓的主要原因。值得注意的是,当土壤动物被排除时,凋落物分解的减缓程度与凋落物初始碳/磷比显著相关,即磷含量较低的凋落物受抑制更明显;然而,当土壤动物存在时,这种相关性消失,表明土壤动物的取食活动可能弱化了凋落物质量对分解的影响(图2)。

图1硅灰石添加对亚热带森林11种凋落物分解速率的影响

图2. 硅灰石粉末添加对凋落物分解的抑制作用及其与凋落物质量的关系
该研究首次揭示了增强岩石风化通过改变土壤性质进而抑制凋落物分解的生态效应,为科学评估增强岩石风化技术在森林生态系统中的碳封存潜力提供了重要科学依据。研究成果以“How does wollastonite addition influence litter decomposition in a subtropical forest? The role of litter quality and soil fauna”为题发表于《Soil Biology and Biochemistry》期刊上。中国科学院沈阳应用生态研究所毕业博士颜咏雪为论文第一作者,张伟东研究员与阴黎明副研究员为共同通讯作者。该研究得到了国家重点研发计划(2022YFF1303003)、国家自然科学基金(U22A20612)、湖南省科技创新计划(2024RC4029)等项目的资助。
论文链接:https://doi.org/10.1016/j.soilbio.2026.110174
|