|
近期,广西药用植物园联合广西医科大学、广西中医药大学等单位在Bioorganic Chemistry期刊上发表题为“Binding and ubiquitination-mediated degradation of ACKR3 by the novel Scutellarein derivative TBS6b potently suppresses hepatocellular carcinoma”(中科院二区,IF4.7)的研究论文,解释了野黄芩素衍生物抑制肝细胞癌发生发展的药理作用机制。
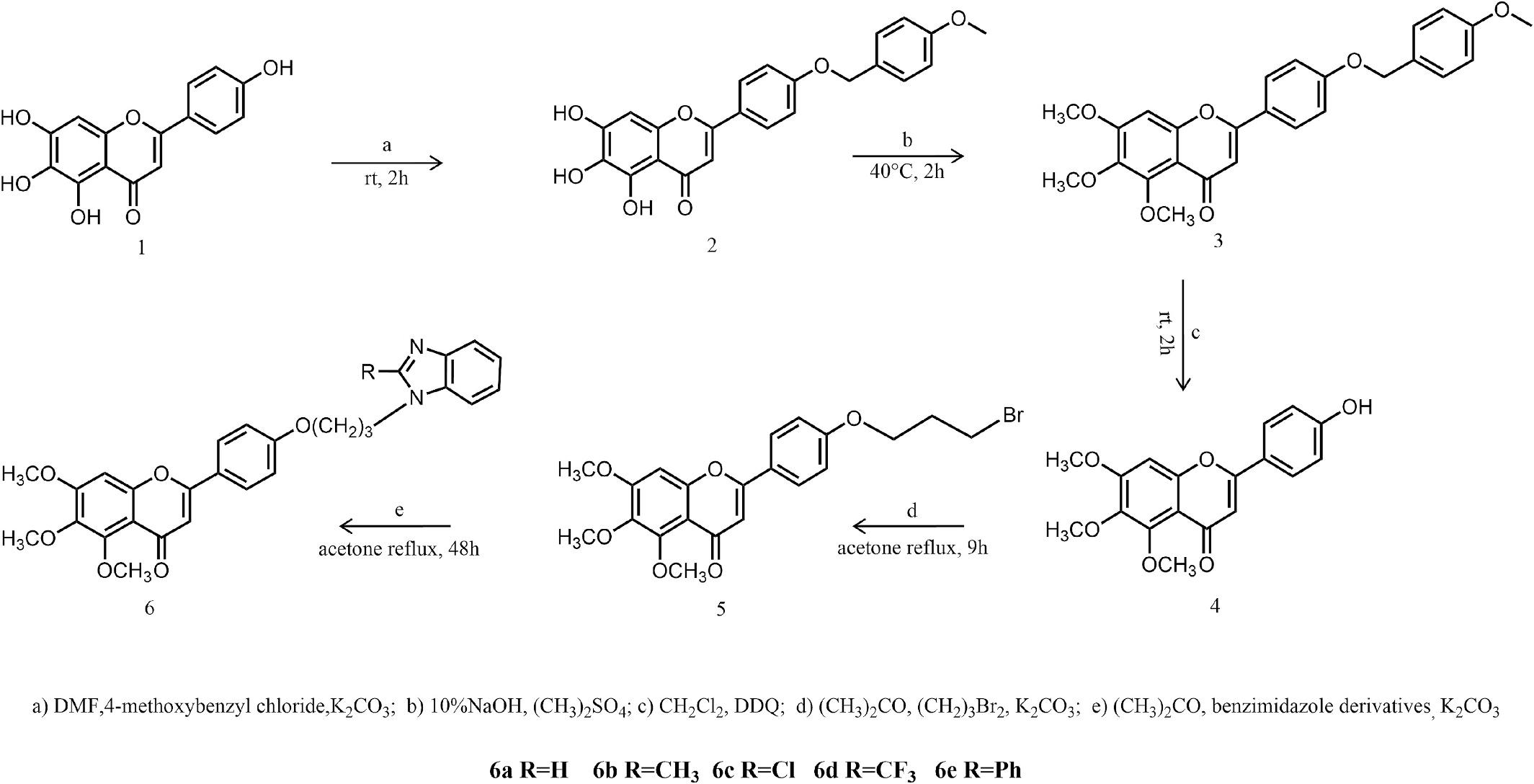
野黄芩素是一种从中药黄芩中提取的黄酮类化合物,具有抑制肝细胞癌(HCC)的作用,但其临床应用受限于其效力相对较低。为了增强其抗肿瘤活性,团队研究人员通过在野黄芩素骨架中引入三甲氧基苯基和苯并咪唑这两种抗肿瘤药效团,合成了新衍生物5,6,7-三甲氧基-4'-苯并咪唑基野黄芩素6b(TBS6b),该衍生物在体外和体内均表现出显著增强的抗 HCC 活性。

图1 TBS6b的合成路线
通过集落形成、EdU 染色、伤口愈合、Transwell 迁移及蛋白质印迹分析等细胞水平检测,证实 TBS6b 可显著抑制 HCC 细胞的核心恶性生物学行为。
通过进一步利用蛋白质组学和转录组学测序、蛋白质印迹和qRT-PCR 实验,预测并验证了非典型趋化因子受体 3(ACKR3)是 TBS6b 的作用靶点:分子对接研究证实了TBS6b 与 ACKR3 蛋白紧密结合;借助药理学工具证实,TBS6b 能促进 ACKR3 的泛素化修饰,加速其蛋白降解,进而下调 ACKR3 在 HCC 细胞中的表达水平。
同时,研究人员构建了ACKR3 沉默及过表达的HCC细胞系,发现过表达ACKR3可显著促进HCC 细胞增殖、迁移与侵袭,而沉默 ACKR3 则抑制相关表型,证实ACKR3 是 HCC 恶性进展的促进因子。组织微阵列分析及公共数据库查询显示,与癌旁非癌组织相比,HCC 组织中 ACKR3 表达水平显著升高,且高表达 ACKR3 的 HCC 患者生存率显著降低,提示 ACKR3 可作为 HCC 预后评估的潜在指标。

图2 TBS6b抗肝细胞癌作用机制
综上,本研究通过药效团修饰优化野黄芩素衍生物活性,鉴定出HCC 治疗新靶点 ACKR3,并阐明 TBS6b 通过促进 ACKR3 泛素化降解发挥抗 HCC 作用的机制,为 HCC 的靶向治疗提供了新的候选药物与理论依据。
论文第一作者为湖南省衡阳市第二人民医院博士生江兴和广西药用植物园副研究员梁莹。通讯作者为广西药用植物园西南濒危药材资源开发国家工程研究中心副研究员杨晓男、广西中医药大学副研究员吴芳芳。该研究得到了中国基础资源调查计划、国家自然科学基金、广西自然科学基金等项目的共同资助。
文章链接:https://doi.org/10.1016/j.bioorg.2025.109073
|