|
帕金森病(Parkinson's disease,PD)是一种进行性神经退行性疾病,累及全球约1%的60岁以上人群。现有疗法(如使用左旋多巴治疗)虽可暂缓症状,但无法改善PD患者运动症状及日常生活能力。当前策略聚焦于PD的多因素致病机制,重点针对氧化应激、线粒体功能障碍和蛋白质异常聚集等关键通路,系统筛选具有神经保护活性的候选成分。
此前在多项流行病学研究中发现烟草中可能含有具有神经保护的活性物质,烟草中尼古丁成分的临床试验研究未显见抗PD效应,这些研究为烟草中非尼古丁成分的生物功能研究带来启发。
 
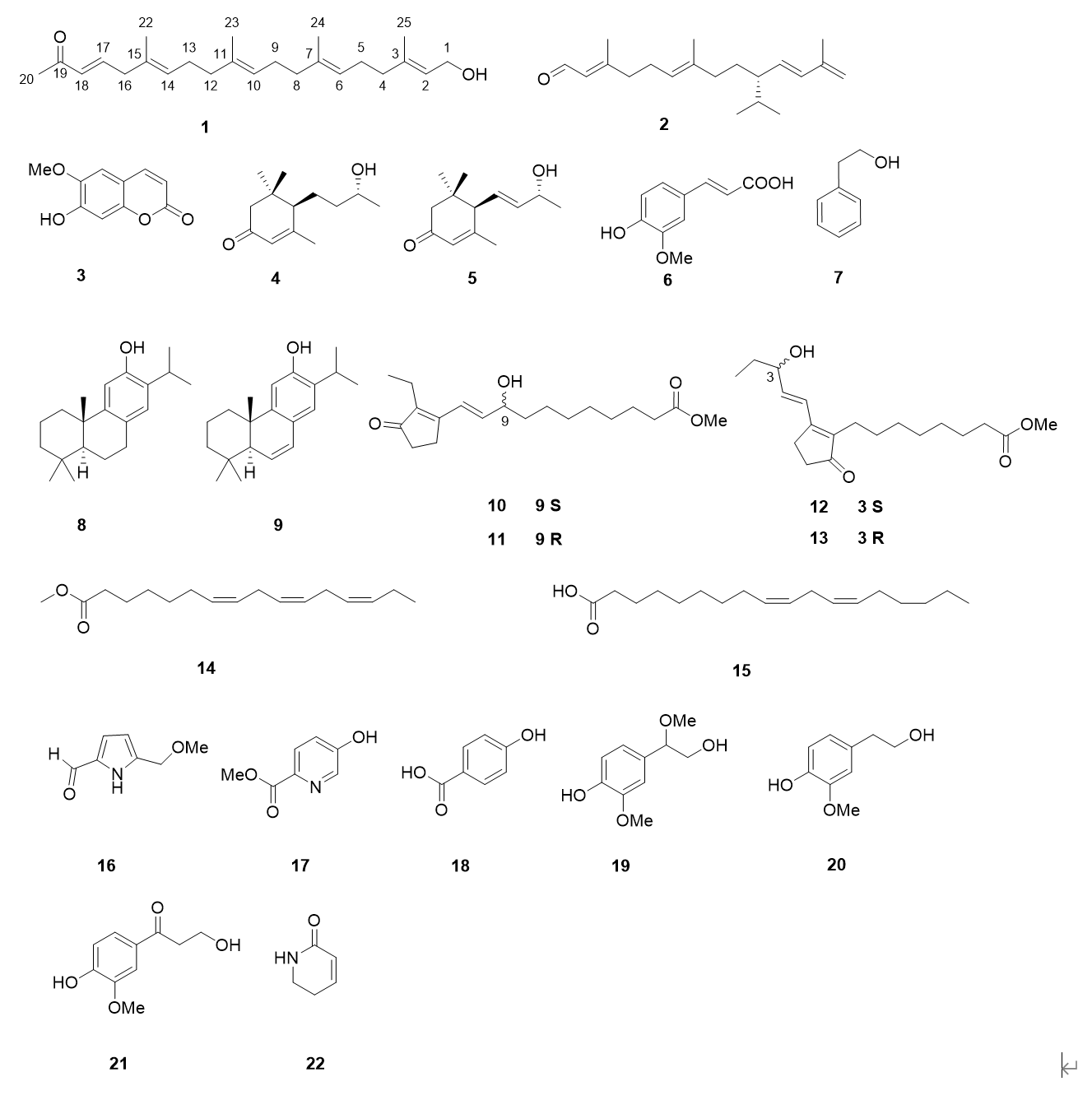
图1 从烟草中分离得到的部分化合物及其生物活性
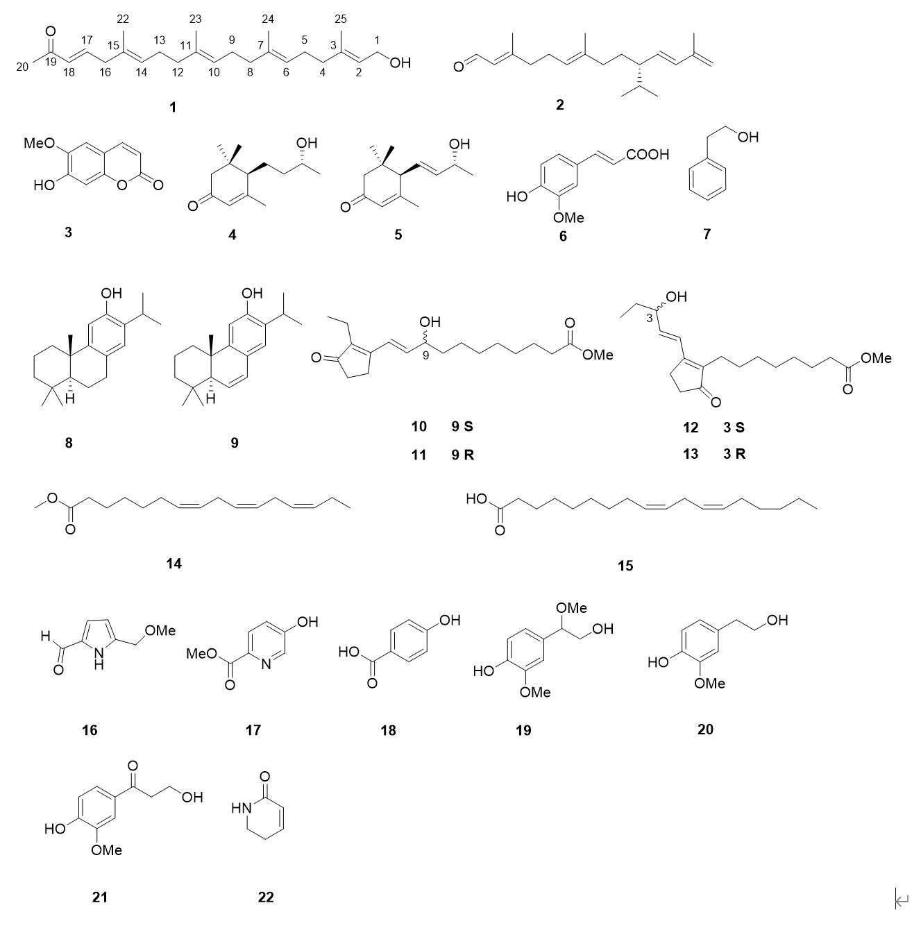
基于此,中国科学院昆明植物研究所植物化学与天然药物全国重点实验室邸迎彤团队联合合作者,对超低尼古丁烟草(Nic1-2Nic2-2)开展了系统性化学成分研究。通过多模态分离技术,成功鉴定22个化合物,其中包含全球首报的直链一降二倍半萜(Nicotiazanorpenoid A)以及8个烟草属首分成分。活性研究揭示其多靶点神经保护机制:
- 自由基清除活性:Scopoletin (3)和isoferulic acid (6)在ABTS模型中表现出强效抗氧化能力(IC₅₀分别为27.74 μM和18.18 μM)
- 神经元保护作用:cis-11,14,17-Eicosatrienoic acid methyl ester (14)在6-OHDA诱导的PC12细胞模型中显著提升存活率至93.94%(阳性对照rasagiline:88.36%)
- 单胺氧化酶(MAO)-B选择性抑制:5个化合物显示抑制活性,其中Scopoletin (3)最强(Kᵢ = 20.7 μM)
关键机制突破在于:通过分子对接及100 ns分子动力学模拟,首次发现植物前列腺素(phytoprostane) B1 type II (10/11)可作为竞争性MAO-B抑制剂,其通过在FAD辅酶结合腔形成稳定复合物实现高效抑制(结合自由能ΔG = -10.42/-9.75 kcal/mol)。
该研究为PD及相关神经退行性疾病的治疗研究提供了新型工具分子与先导结构。
 
图2 从超低烟碱烟草中分离得到的化合物1-22
该成果以Neuroprotective effects of chemical constituents from Nicotiana tabacum L. in Parkinson's disease为题发表在Natural Products and Bioprospecting上,中国科学院昆明植物研究所硕士生臧浩景、成都生物所白小琳助理研究员以及云南省烟草农业科学研究院隋学艺副研究员为该论文的共同第一作者,中国科学院昆明植物研究所邸迎彤研究员、王跃虎研究员与成都生物研究所廖循研究员为共同通讯作者。本项目得到了 YATAS科技重大项目(2022530000241012),云南特色植物提取实验室(2022YKZY001),云南省关键核心技术攻关项目(202203AC100009),国家自然科学基金 (82293683) 以及云南省科技计划项目(202201AS070040 与 202302AA310035 )的资助。
文章链接
|