|
桑寄生是生态系统的重要组成部分,对生态系统过程及其应对气候变化的响应有重要影响。桑寄生及其寄主植物都面临着日益加剧的干旱挑战,其水力性状的比较研究显得尤为重要。然而,与其寄主相比,桑寄生的水力特性及其水力策略仍知之甚少。桑寄生的高蒸腾速率需要高效的水分运输,而低水势导致的高木质部张力则要求其具有较强的栓塞抗性,这构成了一种水力学悖论。桑寄生如何平衡这种矛盾的水力需求目前尚不清楚,但这对于预测它们在日益加剧的干旱和全球变暖驱动的蒸腾需求增加背景下的响应至关重要。
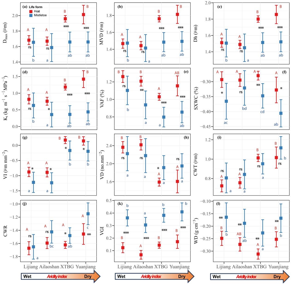
为研究桑寄生如何平衡这种矛盾的水力需求,中国科学院西双版纳热带植物园(以下简称“版纳植物园”)植物生理生态研究组与美国、澳大利亚和巴西的研究者合作,对生长在丽江、哀牢山、西双版纳和元江4个不同水热条件下的119对桑寄生—寄主(共340个重复)枝条的木质部解剖性状进行了研究,旨在探讨桑寄生和寄主水力性状的差异,进而揭示其水力适应策略。
结果显示,桑寄生相较于寄主展现出一种挥霍型的用水策略,即有更低的水分利用效率。然而,这种低效的用水方式却伴随着桑寄生高的木质部栓塞抗性。具体表现为桑寄生的导管直径较小、理论导水率较低,但其脆弱性指数更低、导管壁加固系数、导管群指数和木材密度均较高。桑寄生较高的栓塞抗性,与其高木质部张力(低水势)相一致,但与其高蒸腾和低水分利用效率相矛盾。桑寄生挥霍的水分利用可能通过在低水势下维持高气孔导度来实现。此外,环境差异对桑寄生和寄主的水力性状比较具有显著影响。寄主作为桑寄生的生物环境,其特性对桑寄生的水力性状变异和环境响应具有重要影响。总体而言,该研究揭示了桑寄生由于其寄生生活方式而采取的独特的水力适应策略。这些发现不仅为深入理解寄生植物的水力适应机制提供了新视角,也为预测桑寄生在日益加剧的干旱和全球变暖环境下的响应提供了重要的科学依据。
相关研究成果以Mistletoes have higher hydraulic safety but lower efficiency in xylem traits than their hosts为题发表在国际植物学期刊New Phytologist上。版纳植物园植物生理生态研究组副研究员张云冰为该论文的第一作者,张教林研究员和美国缅因大学的章永江教授为通讯作者。该研究得到了国家自然科学基金项目、云南省基础研究计划项目和版纳植物园“十四五”等项目的资助,同时得到了园林园艺中心、公共技术中心和丽江、哀牢山、版纳、元江生态站的支持。

图1:四个地点桑寄生与其寄主木质部性状的比较

图2:四个地点桑寄生与寄主稳定碳同位素(δ13C)的差异

图3:桑寄生与寄主木质部性状的主成分分析
|